top_logo_presidiumGURGAON


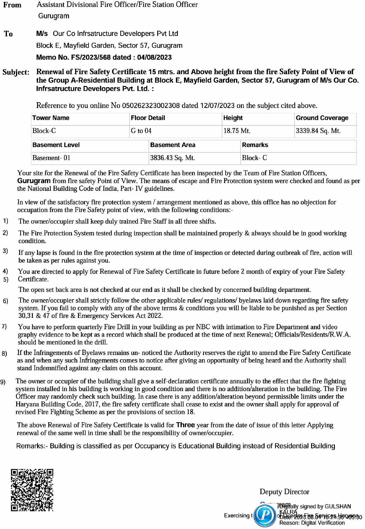
Fire Safety Certificate:




NEWS AND UPDATES

07-11-2023
PRESIDIANS SKILLS SHINE BRIGHT IN TALENT HUNT SHOW

Read More

07-11-2023
PRESIDIANS TURN WASTE INTO INNOVATIVE PROJECTS

Read More

07-10-2023
LITTLE PRESIDIANS EMBARK ON THRILLING ADVENTURE :2023

Read More

UPCOMING EVENTS

1st JULY 2023
NATIONAL DOCTOR'S DAY

Read More

3rd July 2023
GURUPURNIMA

Read More

18TH JULY 2023
INTERNATIONAL NELSON MANDELA DAY

Read More

26TH JULY 2023
KARGIL VIJAY DIWAS

Read More

29TH JULY 2023
INTERNATIONAL TIGER DAY

Read More
WhatsApp chat
Call Us